
Musterrechnung
Rechnung einfach erklärt
(1) Mit diesem Barcode können Sie sich in Worms direkt am Kassenautomat identifizieren und bar einzahlen.
(2) Die Rechnungsanschrift kann von Ihrer Verbrauchsstelle abweichen.
(3) Tag der Rechnungsstellung.
(4) Mit Ihrer Kundennummer können wir Sie für Rückfragen und Zahlungen eindeutig identifizieren. Eine Verwechslung ist somit ausgeschlossen.
(5) Verbrauchsstelle ist der Ort an welchem die Energie verbraucht wird.

(6) Dies ist der Abrechnungszeitraum. In der Regel umfasst er ein komplettes Jahr. Es kann aber durch Umzüge zu unterjährigen Abrechnungen kommen.
(7) Scannen Sie den QR-Code ab, um direkt zum Kundenportal zu gelangen.
(8) Kosten brutto je Verbrauchsart.
(9) Kosten brutto insgesamt für alle Verbrauchsarten.
(10) Ihre bezahlten Teilbeträge für den Abrechnungszeitraum.
(11) In der Zeile werden Ihre bezahlten Teilbeträge mit dem Gesamtbetrag verrechnet. Befindet sich unterhalb der Zeile "Guthaben" eine weitere Zeile mit der Bezeichnung "zzgl. bestehende Forderungen", könnte es sich um:
- Gebühren (Mahn-, Sperr/ Entsperr-, Rücklast- und Ermittlungsgebühren)
- Offene Rechnungen (Jahresabrechnung, Zwischenabrechnung) vor dem jetzigen Abrechnungszeitraum handeln.

(12) Energieart: Strom (Haushalt oder Wärme) Wasser Gas
(13) Ihr neuer Teilbetrag je Energieart.
(14) Ihr neuer Gesamtteilbetrag.

(15) Die Netzbetreibernummer dienst der eindeutigen Identifikation des örtlichen Verteilnetzbetreibers, an dessen Netz die Lieferstelle angeschlossen ist.
(15a) Hier finden Sie die MaLo-ID (Marktlokations-ID).
(16) Die Nummer Ihres Zählers.
(17) Doppeltarifzähler (DT): Der Doppeltarifzähler verfügt über zwei Zählwerke, die den Hochtarifverbrauch (HT) und den Niedertarifverbrauch (NT) zeitlich getrennt erfassen. Einfachtarifzähler (ET): Der Einfachtarifzähler verfügt nur über ein Zählwerk. Daher unterscheidet der Zähler keine Zeiten. Der Stromverbrauch wird immer zum gleichen Preis abgerechnet.
(18) Anfangszählerstand oder letzter abgerechneter Zählerstand.
(19) Zählerstand zum Produktwechsel, Zählerwechsel oder Zwischenablesung.
(20) Zählerstand zum Jahreswechsel für die gesetzliche Verbrauchsabgrenzung, auf Grund von Änderungen staatlicher Abgaben, Belastungen, bzw. Steuern etc.
(21) Bis zu diesem Zählerstand wird Ihr Jahresverbrauch berechnet.

(22) Details zur gesetzlichen Verbrauchsabgrenzung, die auf Grund von Änderungen staatlicher Abgaben, Belastungen, bzw. Steuern etc. erforderlich ist.
(23) Die Stromsteuer ist eine gesetzlich geregelte Verbrauchssteuer, die seit 1999 auf Grund des Gesetzes zur ökologischen Steuerreform erhoben wird. Besteuert wird der Verbrauch bzw. die Entnahme aus dem Netz im deutschen Steuergebiet. Die Stromsteuer wird vom Energieversorger erhoben und an den Fiskus abgeführt.
(24) Mit der EEG-Umlage wird die Erzeugung von Strom in Anlagen erneuerbarer Energieträger gefördert, die nach dem Erneuerbare-Energien-Gesetz (EEG) vergütet werden. Diese Kosten werden gemäß EEG auf alle Verbraucher umgelegt. Der Berechnung der EEG-Umlage wurden 145.883.900.000 kWh Strom zugrunde gelegt, die nach dem Erneuerbare-Energien-Gesetz gefördert werden. Die prognostizierten EEG-Gesamtkosten betragen 23.579.066.084,12 Euro, welche auf einen Letztverbraucherabsatz von 377.895.402.000 kWh umgelegt werden.
(25) Kraft-Wärme-Kopplungs-(KWK-) Anlagen erzeugen gleichzeitig Strom und Wärme. Dadurch wird ein höherer Nutzungsgrad erreicht, wodurch Brennstoff eingespart und Kohlendioxid-Emissionen gemindert werden können. Betreiber von KWK-Anlagen erhalten einen gesetzlich festgelegten Zuschlag. Diese Kosten werden gemäß Kraft-Wärme-Kopplungsgesetz (KWKG) auf die Verbraucher umgelegt.
(26) Mit der § 19 StromNEV-Umlage wird die Entlastung bzw. Befreiung stromintensiver Unternehmen von Netzgelten finanziert. Die aus der Strom-Netzentgeltverordnung (StromNEV) entstehenden Belastung werden bundesweit auf die Letztverbraucher umgelegt.

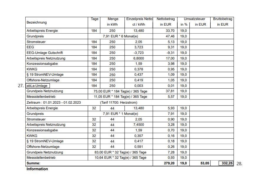
(27) Ab dem 01.01.2014 wird gemäß § 18 der AblaV (Verordnung zu abschaltbaren Lasten vom 28. Dezember 2012, GBGI. I S. 2998) in Verbindung mit § 9 KWKG eine Umlage für abschaltbare Lasten (abLa-Umlage) als verbrauchsabhängiger Aufschlag (in Cent pro Kilowattstunde) erhoben, der auf die Letztverbraucher umgelegt wird. Die abLa-Umlage dient der Netzstabilität und Versorgungssicherheit. Der Lieferant hat auf die Höhe der Umlage keinen Einfluss. Für das Jahr 2014 haben die Übertragungsnetzbetreiber die Erhebung der Umlage in Höhe von 0,009 Cent (netto) pro verbrauchter Kilowattstunde festgesetzt. Es ist vorgesehen, dass die Übertragungsnetzbetreiber die Höhe der Umlage jährlich bestimmen und einschließlich der für die Berechnung maßgeblichen Daten im Internet veröffentlichen (derzeit: www.eeg-kwk.net)
(28) Gesamtbetrag brutto.

(29) Vergleichsgrafik die Ihren aktuellen Verbrauch mit dem des Vorjahres, und den durchschnittlichen Verbrauch vergleicht.

(30) Ein Zählpunkt kennzeichnet eine Lieferstelle eindeutig, diese Nummer existiert nur einmal im europäischen Energienetz. Am Zählpunkt werden die relevanten Messdaten erfasst. Über die Zählpunktbezeichnung kann der Netzbetreiber den Standort der Lieferstelle genau identifizieren und dem Zähler zuordnen. Im Gegensatz dazu ist die Zählernummer nicht ortsgebunden, da Zähler gewechselt werden können.
(31) Der Brennwert des in das Versorgungsnetz des zuständigen Netzbetreibers gelieferten Erdgases wird ständig gemessen wobei der gewichtete Mittelwert im jeweiligen Abrechnungszeitraum in die thermische Verbrauchsabrechnung eingeht.
(32) Abrechnungswert (Thermische Energie): Der Verbrauchswert in Kilowattstunde (kWh) ergibt sich durch die Multiplikation des gemessenen Verbrauchswertes in Kubikmeter (m³) mit der Zustandszahl und dem Brennwert.
(33) Ihr letzter Verbrauch.
(34) Zustandszahl: Temperatur und Druck am Verbrauchsort wirken sich auf den Energiegehalt des Erdgases aus und werden als sog. Zustandszahl in der thermischen Verbrauchsabrechnung berücksichtigt.
(35) Hochrechnung System ist eine Schätzung die anhand Ihres abgerechneten Verbrauches entsteht, sofern kein abgelesener Zählerstand zu diesem Datum vorliegt.
(36) Gemeldeter Zählerstand für die Abrechnung.
(37) Ihr letzter Jahresverbrauch.
(38) Ihr aktueller Gesamtverbrauch.

(39) Details für die gesetzliche Verbrauchsabgrenzung, die auf Grund von Änderungen staatlicher Abgaben, Belastungen, bzw. Steuern etc. erforderlich ist.
(40) Die Gassteuer ist eine gesetzlich geregelte Verbrauchssteuer, die seit 1999 auf Grund des Gesetzes zur ökologischen Steuerreform wird. Besteuert wird der Verbrauch bzw. die Entnahme aus dem Netz im deutschen Steuergebiet. Die Energiesteuer Erdgas wird vom Energieversorger erhoben und an den Fiskus abgeführt.
(41) Kosten die an den jeweiligen Netzbetreiber abgeführt werden.
(42) Gesamtbetrag brutto (Aufgeführt mit 19 % und 7 % Umsatzsteuer).

(43) Am 19.11.2022 ist das Erdgas-Wärme-Soforthilfegesetz (EWSG) in Kraft getreten. Haushaltskunden sowie bestimmte Unternehmen sollen im Monat Dezember 2022 einmalig entlastet werden, indem der Staat den Gasabschlag übernimmt. Die Soforthilfe orientiert sich an den monatlichen Abschlägen. Die Höhe der Soforthilfe berücksichtigt auch mögliche Gaspreissteigerungen zum Jahresende. Die Bundesregierung berechnet die Erstattung je Kunde mit folgender Formel: 1/12 des Jahresverbrauchs basierend auf der Jahresverbrauchsprognose von September 2022 x Arbeitspreis (gültig zum 01.12.2022) + Grundpreis des Monats Dezember 2022.
(44) Ihr aktuelles Produkt.
(45) Anhand der Zählergröße wird der Grundpreis berechnet.

Stromkennzeichnung ist die gesetzliche Information des Letztverbrauchers über die Information von Strom über dessen Erzeugung.




